-
3-氯-4-甲基胺
結構式 物競編號 029q 分子式 c7h8cln 分子量 141 標簽 暫無 編號系統 物性數據 毒理學數據 生態學數據 分子結構數據 計算化學數據 更多 性質與穩定性 貯存方法 合成方法 用途 編號系統 cas號:95-74-9 mdl號:m ... -
1-萘胺-8-磺酸
結構式 物競編號 01t4 分子式 c10h9no3s 分子量 223.25 標簽 周位酸, 1,8-克利夫酸, 8-氨基-1-萘磺酸, 迫位酸, ... -
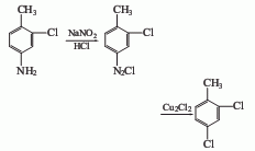
2,4-二氯
結構式 物競編號 029p 分子式 c7h6cl2 分子量 161 標簽 2,4-二氯-1-甲基, 2,4-二氯(二氯), 2,4-二氯-1-, 2,4-dichl ... -
五氯硝基
結構式 物競編號 01t3 分子式 c6cl5no2 分子量 295.33 標簽 土粒散, 五氯硝基原粉, 硝基五氯, 掘地生粉劑, ...





